Contoh Soal Dan Pembahasan Kesebangunan Dan Kongruensi
Soal No. 1
Diberikan dua buah persegipanjang ABCD dan persegipanjang PQRS ibarat gambar berikut.

Kedua persegipanjang tersebut yakni sebangun. Tentukan:
a) panjang PQ
b) luas dan keliling persegipanjang PQRS
Diberikan dua buah persegipanjang ABCD dan persegipanjang PQRS ibarat gambar berikut.

Kedua persegipanjang tersebut yakni sebangun. Tentukan:
a) panjang PQ
b) luas dan keliling persegipanjang PQRS
Pembahasan
a) Perbandingan panjang garis AB dengan AD bersesuaian dengan perbandingan panjang garis PQ dengan PS. Sehingga
a) Perbandingan panjang garis AB dengan AD bersesuaian dengan perbandingan panjang garis PQ dengan PS. Sehingga

Panjang PQ = 24 cm
b) Luas persegipanjang PQRS = PQ x PS = 24 cm x 6 cm = 144 cm2
Keliling persegipanjang PQRS = 2 x (PQ + PS) = 2 x (24 cm + 6 cm) = 60 cm
Soal No. 2
Perhatikan gambar berikut!

Tentukan panjang DB!
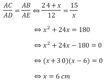
Pembahasan
Soal ini perihal kesebangunan segitiga. Segitiga ABC yang lebih besar sebangun dengan segitiga kecil ADE sehingga perbandingan panjang sisi-sisi yang bersesuaian akan sama. Temukan dulu panjang sisi AB, ambil perbandingan ganjal dan tinggi dari kedua segitiga ibarat berikut ini:

Dengan demikian DB = AB − AD = 15 cm − 10 cm = 5 cm
Soal No. 3
Dari soal berikut, tentukan:

a) QR
b) QU
Pembahasan
a) Penyelesaian ibarat nomor 2, ambil perbandingan sisi-sisi yang bersesuaian dari segitiga PQR dan segitiga SUR.
b) QU = QR − UR = 20 cm − 15 cm = 5 cm
Soal No. 4
Perhatikan gambar berikut!

Tentukan panjang DE
Pembahasan
Kesebangunan dua segitiga siku-siku
Perhatikan gambar berikut!

Tentukan panjang DE
Pembahasan
Kesebangunan dua segitiga siku-siku
Soal No. 5
Diketahui panjang SR yakni 8 cm.

Tentukan panjang QS!
Pembahasan
Kongruensi dua segitiga siku-siku, tentukan lebih dahulu panjang PS gunakan teorema phytagoras akan didapat angka 6 cm untuk panjang PS. Kemudian lakukan perbandingan sisi yang sesuai:

Soal No. 6
Dari soal berikut ini tentukan panjang EF!

Pembahasan
Buat satu garis yang sejajar dengan garis AD namakan CH ibarat gambar berikut.

Terlihat muncul data-data gres yaitu EG = 15 cm, AH = 15 cm dan HB = 13 cm. Ambil dua segitiga sebangun GFC dan HBC bandingkan sisi-sisi yang bersesuaian:

Dengan demikian panjang EF = EG + GF = 15 + 4 = 19 cm
Soal No. 7
Perhatikan gambar berikut ini.

Tentukan panjang EF, jikalau titik E dan titik F berturut-turut yakni titik tengah diagonal DB dan diagonal CA!
Pembahasan
Cara pertama,
Diketahui panjang SR yakni 8 cm.

Tentukan panjang QS!
Pembahasan
Kongruensi dua segitiga siku-siku, tentukan lebih dahulu panjang PS gunakan teorema phytagoras akan didapat angka 6 cm untuk panjang PS. Kemudian lakukan perbandingan sisi yang sesuai:

Soal No. 6
Dari soal berikut ini tentukan panjang EF!

Pembahasan
Buat satu garis yang sejajar dengan garis AD namakan CH ibarat gambar berikut.

Terlihat muncul data-data gres yaitu EG = 15 cm, AH = 15 cm dan HB = 13 cm. Ambil dua segitiga sebangun GFC dan HBC bandingkan sisi-sisi yang bersesuaian:

Dengan demikian panjang EF = EG + GF = 15 + 4 = 19 cm
Soal No. 7
Perhatikan gambar berikut ini.

Tentukan panjang EF, jikalau titik E dan titik F berturut-turut yakni titik tengah diagonal DB dan diagonal CA!
Pembahasan
Cara pertama,
Perhatikan garis DB yang dibagi menjadi segmen-segmen DE, EG dan GB.
Misalkan
panjang DB yakni 2a
maka
DE = a
EB = a

Dari kesebangunan segitiga DGC dan segitiga AGB didapatkan perbandingan panjang garis
DG : GB = 2 : 1 didapatnya dari 24 cm : 12 cm
Sehingga

Dari pembagian segmen garis DB terlihat bahwa
DG = DE + GE
Sehingga

Akhirnya bandingkan sisi-sisi yang bersesuaian pada segitiga kongruen ABG dan EGF.

Misalkan
panjang DB yakni 2a
maka
DE = a
EB = a

Dari kesebangunan segitiga DGC dan segitiga AGB didapatkan perbandingan panjang garis
DG : GB = 2 : 1 didapatnya dari 24 cm : 12 cm
Sehingga

Dari pembagian segmen garis DB terlihat bahwa
DG = DE + GE
Sehingga

Akhirnya bandingkan sisi-sisi yang bersesuaian pada segitiga kongruen ABG dan EGF.

Cara kedua, namun diingat hanya untuk tipe soal ibarat ini saja, jadi titik E dan F nya di tengah-tengah, jangan gunakan untuk tipe soal yang lain:


Soal No. 8
Perhatikan gambar berikut ini!

Jarak titik E ke B adalah....
A. 1,5
B. 6
C. 8
D. 10
Pembahasan
Misalkan EB dinamakan x, maka AB nantinya akan sama dengan (2 + x). Perbandingan sisi EB dengan ED pada segitiga kecil (segitiga BDE), harus sama dengan perbandingan AB dengan AC pada segitiga besar (segitiga BCA). Selanjutnya:

Makara panjang EB yakni 6 cm.
Perhatikan gambar berikut ini!

Jarak titik E ke B adalah....
A. 1,5
B. 6
C. 8
D. 10
Pembahasan
Misalkan EB dinamakan x, maka AB nantinya akan sama dengan (2 + x). Perbandingan sisi EB dengan ED pada segitiga kecil (segitiga BDE), harus sama dengan perbandingan AB dengan AC pada segitiga besar (segitiga BCA). Selanjutnya:

Makara panjang EB yakni 6 cm.
Soal No. 10
Sebuah karton berukuran tinggi 30 cm dan lebar 20 cm. Budi menempelkan sebuah foto sehingga sisa karton di sebelah kiri, kanan, atas foto yakni 2 cm.
Sebuah karton berukuran tinggi 30 cm dan lebar 20 cm. Budi menempelkan sebuah foto sehingga sisa karton di sebelah kiri, kanan, atas foto yakni 2 cm.

Jika foto dan karton sebangun, sisa karton di bawah foto adalah...
A. 5 cm
B. 4 cm
C. 3 cm
D. 2 cm
(Modifikasi Soal Kesebangunan - UN 2010)
Pembahasan
Perhatikan ilustrasi foto dan karton daerah melekat berikut, misalkan sisa panjang karton namakan sebagai x.

Perbandingan panjang dengan lebar foto harus sama dengan perbandingan panjang dengan lebar dari karton, sebab sebangun.

A. 5 cm
B. 4 cm
C. 3 cm
D. 2 cm
(Modifikasi Soal Kesebangunan - UN 2010)
Pembahasan
Perhatikan ilustrasi foto dan karton daerah melekat berikut, misalkan sisa panjang karton namakan sebagai x.

Perbandingan panjang dengan lebar foto harus sama dengan perbandingan panjang dengan lebar dari karton, sebab sebangun.

Soal No. 11
Sebuah foto berukuran tinggi 30 cm dan lebar 20 cm ditempel pada sebuah karton. Sisa karton di sebelah kiri, kanan, atas foto 2 cm. Jika foto dan karton sebangun, sisa karton di bawah foto adalah...
A. 5 cm
B. 4 cm
C. 3 cm
D. 2 cm
(Soal Kesebangunan - Soal UN Matematika 2010)
Pembahasan
Perhatikan ilustrasi foto dan karton daerah melekat berikut,

Perbandingan panjang dengan lebar foto harus sama dengan perbandingan panjang dengan lebar dari karton, sebab sebangun.
Sebuah foto berukuran tinggi 30 cm dan lebar 20 cm ditempel pada sebuah karton. Sisa karton di sebelah kiri, kanan, atas foto 2 cm. Jika foto dan karton sebangun, sisa karton di bawah foto adalah...
A. 5 cm
B. 4 cm
C. 3 cm
D. 2 cm
(Soal Kesebangunan - Soal UN Matematika 2010)
Pembahasan
Perhatikan ilustrasi foto dan karton daerah melekat berikut,

Perbandingan panjang dengan lebar foto harus sama dengan perbandingan panjang dengan lebar dari karton, sebab sebangun.
Perhatikan perbedaannya dengan nomor sebelumnya dalam menempatkan x.


Soal No. 12
Perhatikan gambar di bawah ini!Jika panjang BD dan panjang AD berturut-turut yakni 16 cm dan 12 cm, maka panjang sisi CD yakni ....
Pembahasan :
Dik : BD = 16 cm, AD = 12 cm
Dit : BC = ... ?
Untuk segitiga siku-siku sebangun ibarat di atas, berlaku persamaan berikut:
⇒ AD2 = BD x CD
⇒ 122 =16 x CD
⇒ 144 = 16CD
⇒ CD = 144/16
⇒ CD = 9 cm.
Soal No. 13
Sebuah pohon yang tingginya 12 meter mempunyai bayangan sepanjang 15 meter di atas tanah mendatar. Sebuah tiang yang tingginya 5,2 meter mempunyai bayangan sepanjang ....
Pembahasan :
| ⇒ | Tinggi pohon | = | Bayangan pohon |
| Tinggi tiang | Bayangan tiang |
| ⇒ | 12 | = | 15 |
| 5,2 | Bayangan tiang |
⇒ Bayangan tiang = 6,5 m
Soal No 14
Seorang murid yang berdiri pada jarak 3 meter dari tiang lampu mempunyai bayangan oleh sinar lampu sepanjang 3 meter. Jika tinggi tinggi tiang tersebut yakni 2,8 meter, maka tinggi murid itu yakni ....
Pembahasan :
Berlaku perbandingan sebagai berikut:
| ⇒ | Tinggi anak | = | Panjang bayangan |
| Tinggi tiang | Panjang bayangan + jarak anak |
| ⇒ | Tinggi anak | = | 3 |
| 2,8 | 3 + 3 |
⇒ Tinggi anak = 1,4 m
Soal No 15
Perhatikan gambar berikut ini!
Berdasarkan nilai yang diketahui pada gambar tersebut, maka nilai x yakni ...
Pembahasan :
| ⇒ | 12 | = | 12 + x |
| 8 | 12 |
⇒ 12 + x = 144/8
⇒ 12 + x = 18
⇒ x = 18 - 12
⇒ x = 6 cm
Soal No 16
Perhatikan gambar di bawah ini!
ABCD merupakan trapesium sama kaki dengan panjang AB = 24 cm, dan BC = 15 cm. Jika keliling trapesium tersebut 60 cm, maka luasnya sama dengan ....
Pembahasan :
Berdasarkan rumus keliling diperoleh:
⇒ K = AB + BC + CD + AD
⇒ 60 = 24 + 15 + CD + 15
⇒ 60 = 54 + CD
⇒ CD = 60 - 54
⇒ CD = 6 cm
Dari gambar sanggup kita lihat bahwa panjang CD sama dengan panjang EF.
⇒ EF = CD
⇒ EF = 6 cm
Untuk memilih luas trapesium, kita harus mengetahui tingginya terlebih dahulu. Tingi trapesium itu sama dengan panjang DE atau panjang FC. Untuk menghitung panjang FC, kita tinjau segitiga BFC.
Pada segitiga BFC, panjang BF sanggup dihitung sebagai berikut:
⇒ BF = ½ x (AB - EF)
⇒ BF = ½ (24 - 6)
⇒ BF = ½ (18)
⇒ BF = 9 cm
Karena BF dan BC sudah diketahui, maka panjang FC sanggup dihitung dengan memakai dali Pythagoras sebagai berikut:
⇒ FC2 = BC2 - BF2
⇒ FC2 = 152 - 92
⇒ FC2 = 144
⇒ FC = 12 cm
Dengan demikian, luas trapesium ABCD adalah:
⇒ L = ½ (AB + CD) . FC
⇒ L = ½ (24 + 6) . 12
⇒ L = ½ (30) . 12
⇒ L = 180 cm2
Soal No 17
Terdapat sebuah persegi panjang dengan ukuran panjang 15cm dan lebar 10cm. Jika lebar persegi panjang tersebut ditambahkan 2cm, berapakah panjang persegi panjang kedua supaya kedua berdiri tersebut sebangun?
Penyelesaian :
Misalkan :
panjang persegi panjang 1 = p1 = 15 cm
lebar persegi panjang 1 = l1 = 10 cm
lebar persegi panjang 2 = l2 = 10+2 = 12 cm
Ditanya : p2 ?
Jawab :
p2/p1 = l2 /l1
p2/15 = 12/10
10×p2 = 15×12
p2 = 180/10
p2 = 18
Makara ukuran panjang persegi panjang kedua supaya kedua persegi panjang sebangun yakni 18 cm.
Soal No 18
Perhatikan gambar diatas, tentukanlah berapa panjang DE?
Penyelesaian :
Diket :
AC = 10 cm
AB = 6 cm
CD = 16 cm
Dit : DE ?
Jawab :
Perhatikan gambar diatas, dan perhatikan sisi-sisi yang bersesuaian dari kedua segitiga tersebut.
DE/CD = AB/BC
Karena kita butuh panjang BC, maka kita sanggup mencarinya memakai teorema pythagoras.
BC² = AC²-AB²
BC² = 10² – 6²
BC² = 100 – 36
BC² = 64
BC = √64
BC = 8
Selanjutnya kita kembali pada persamaan diatas untuk menghitung panjang DE.
DE/CD = AB/BC
DE/16 = 6/8
8×DE = 16×6
8×DE = 96
DE = 96/8
DE = 12
Soal No 20Soal No 22
Soal No 23
Perhatikan gambar di samping!
Panjang TR adalah.... (UN tahun 2014)
A. 2 cm
B. 3 cm
C. 4 cm
D. 5 cm
PEMBAHASAN:
Sebaiknya gambar di atas diuraikan menjadi dua segitiga, supaya kalian gampang untuk mengidentifikasi sisi-sisi yang bersesuaian:
Selanjutnya kita susun perbandingan menurut sisi-sisi yang bersesuaian:









0 Response to "Contoh Soal Dan Pembahasan Kesebangunan Dan Kongruensi"
Posting Komentar